Dispersion

Dispersion#

Hide code cell source

from collections import OrderedDict

import matplotlib.pyplot as plt
import numpy as np
from numpy.polynomial import Polynomial
from scipy.constants import speed_of_light
from shapely.geometry import box
from shapely.ops import clip_by_rect
from skfem import Basis, ElementTriP0
from skfem.io.meshio import from_meshio
from tqdm import tqdm

from femwell.maxwell.waveguide import compute_modes
from femwell.mesh import mesh_from_OrderedDict

First we define the dispersion relations of the used materials. Both, the dispersion of silicon nitride and of silicon dioxide are taken from refractiveindex.info

def n_silicon_nitride(wavelength):
    x = wavelength
    return (
        1 + 3.0249 / (1 - (0.1353406 / x) ** 2) + 40314 / (1 - (1239.842 / x) ** 2)
    ) ** 0.5


def n_silicon_dioxide(wavelength):
    x = wavelength
    return (
        1
        + 0.6961663 / (1 - (0.0684043 / x) ** 2)
        + 0.4079426 / (1 - (0.1162414 / x) ** 2)
        + 0.8974794 / (1 - (9.896161 / x) ** 2)
    ) ** 0.5

Now we define the geometry, we use a box for the core with a height of 500nm and a width of 1000nm. Everything below the waveguide is defined as the box and the waveguide is surrounded by the clad.

core = box(0, 0, 1, 0.5)
polygons = OrderedDict(
    core=core,
    box=clip_by_rect(core.buffer(1.0, resolution=4), -np.inf, -np.inf, np.inf, 0),
    clad=clip_by_rect(core.buffer(1.0, resolution=4), -np.inf, 0, np.inf, np.inf),
)

resolutions = {"core": {"resolution": 0.1, "distance": 1}}

mesh = from_meshio(
    mesh_from_OrderedDict(polygons, resolutions, default_resolution_max=0.6)
)
mesh.draw().show()
../_images/956627860754f047947d129a59622681a82653ab485ed353e4c5fd15bf43c0ad.png

Now we sweep the wavelengths: We do a loop where whe set the epsilon values according to the wavelength and as we don’t change the geometry, we can reuse the mesh, yay!

wavelengths = np.linspace(1.2, 1.9, 20)
num_modes = 2

all_neffs = np.zeros((wavelengths.shape[0], num_modes))
all_te_fracs = np.zeros((wavelengths.shape[0], num_modes))
for i, wavelength in enumerate(tqdm(wavelengths)):
    basis0 = Basis(mesh, ElementTriP0())
    epsilon = basis0.zeros(dtype=complex)
    for subdomain, n in {
        "core": n_silicon_nitride(wavelength),
        "box": n_silicon_dioxide(wavelength),
        "clad": 1,
    }.items():
        epsilon[basis0.get_dofs(elements=subdomain)] = n**2

    modes = compute_modes(basis0, epsilon, wavelength=wavelength, num_modes=num_modes)
    all_neffs[i] = np.real([mode.n_eff for mode in modes])
    all_te_fracs[i, :] = [mode.te_fraction for mode in modes]

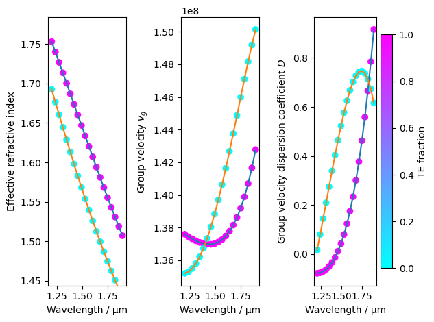
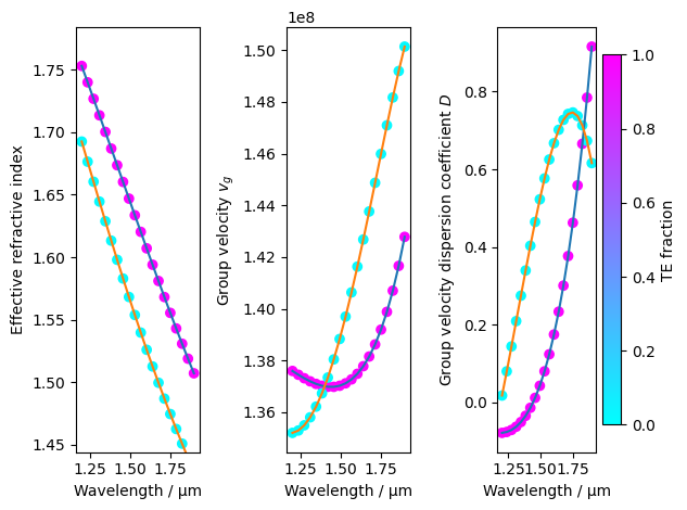
Now we only look at the real part of the effective refractive indices and plot all the dispersion relation, the group velocity and the dispersion parameter over the wavelength. So convenient!

Hide code cell source

all_neffs = np.real(all_neffs)

fig, axs = plt.subplots(1, 3)

axs[0].set_xlabel("Wavelength / µm")
axs[0].set_ylabel("Effective refractive index")
axs[0].set_ylim(1.444, np.max(all_neffs) + 0.1 * (np.max(all_neffs) - 1.444))
for lams, te_fracs in zip(all_neffs.T, all_te_fracs.T):
    axs[0].plot(wavelengths, lams)
    sc = axs[0].scatter(wavelengths, lams, c=te_fracs, cmap="cool", vmin=0, vmax=1)


axs[1].set_xlabel("Wavelength / µm")
axs[1].set_ylabel("Group velocity $v_g$")
for lams, te_fracs in zip(all_neffs.T, all_te_fracs.T):
    fit = Polynomial.fit(wavelengths, lams, deg=4)
    y = speed_of_light / (lams - wavelengths * fit.deriv(1)(wavelengths))
    axs[1].plot(wavelengths, y)
    sc = axs[1].scatter(wavelengths, y, c=te_fracs, cmap="cool", vmin=0, vmax=1)

axs[2].set_xlabel("Wavelength / µm")
axs[2].set_ylabel("Group velocity dispersion coefficient $D$")
for lams, te_fracs in zip(all_neffs.T, all_te_fracs.T):
    fit = Polynomial.fit(wavelengths, lams, deg=4)
    y = wavelengths**2 * fit.deriv(2)(wavelengths)
    axs[2].plot(wavelengths, y)
    sc = axs[2].scatter(wavelengths, y, c=te_fracs, cmap="cool", vmin=0, vmax=1)
fig.colorbar(sc).set_label("TE fraction")
plt.tight_layout()
plt.show()
../_images/3c8df755f5e6358107cf39f770ffa6659a5921b4e807a31db9328afc346e3a30.png